Материал нашел и подготовил к публикации Григорий Лучанский
Источник: Xрисанф Васильевич Власов, Иван Егорович Евтюхин, Юрий Федорович Серебряков. Вождение автомобиля в сложных условиях. (Издание второе, дополненное). Военное издательство Министерства обороны СССР, Москва, 1964 г.
Краткие сведения по механике и теории автомобиля
1. Понятия из механики, связанные с работой автомобиля
Сила
Изменение движения или состояния покоя какого-либо тела вызывается действием силы. Следовательно, всякое движение или торможение движения является результатом действия сил. Говоря о силе, мысленно представляют ее напряжением своих мускулов. Так, при проворачивании коленчатого вала двигателя пусковой рукояткой, при повороте рулевого колеса для изменения направления движения автомобиля, при нажатии на тормозную педаль для остановки автомобиля тормозами, при работах по ремонту и обслуживанию автомобиля и в других случаях водитель прилагает силу.
Поршень перемещается вниз под действием силы – резко возрастающего давления газов, образующихся от сгорания рабочей смеси. Он передает эту силу через шатун на кривошип коленчатого вала, приводя его во вращение (рис. 1). Всякая сила имеет определенное направление и величину. Она измеряется в килограммах (кг).
Рис. I. Схема действия сил на поршень, движущийся вниз под давлением воспламенившейся рабочей смеси
Работа
При сообщении телу движения сила совершает работу. За единицу работы принимается такая работа, которая совершается силой в 1 кг на пути в 1 м. В частном случае сила давления газов в цилиндре, действуя на днище поршня, перемещает его на определенный путь. Этот путь равен ходу поршня от верхней мертвой точки (ВМТ) до нижней мертвой точки (НМТ). Работа в этом случае равна произведению силы давления газов (в кг) на путь перемещения поршня (в м) и измеряется в килограммометрах (кгм).
Момент силы
Момент силы создается силой, действующей на тело вне точки его опоры. Расстояние от точки опоры до точки приложения силы называется плечом этой силы.
Момент силы имеет место в каждой паре шестерен, червячной передаче, при торможении автомобиля и в других случаях. Так, например, от приложения к педали ножного тормоза усилия, равного 16 кг, давление в системе привода увеличится во столько раз, во сколько плечо Б меньше плеча А (рис. 2). Если плечо Б, например, в 7 раз меньше плеча А, то шток будет передавать на поршень усилие, равное 112 кг (16x7= 112)
Для увеличения момента силы с помощью шестеренчатой передачи усилие с шестерни меньшего диаметра передается на зубья шестерни большего диаметра. На этом основан принцип понижающих передач: повышение тягового усилия на колесах автомобиля за счет уменьшения скорости вращения колес при неизменных числах оборотов и нагрузке двигателя.
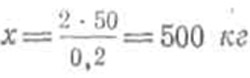
Применяя вагу (жердь или бревно) для вывешивания колеса застрявшего автомобиля (рис. 3), промежуточную опору О устанавливают как можно ближе к тому концу ваги, где нужно получить наибольшее усилие (точка Б). Эта сила во столько раз больше силы, приложенной водителем на противоположном конце ваги (точка А), во сколько раз отрезок ОБ меньше отрезка ОА. Например, в точке А водитель приложил силу, равную 50 кг, плечо ОА равно 2 м, а плечо ОБ равно 0,2 м. Тогда исходя из равенства моментов 2•50 = 0,2•x; усилие, возникающее на конце ваги (в точке Б), т. е. под ступицей колеса, будет равно
Законы механики говорят о том, что во сколько раз больше получается выигрыш в силе, во столько же раз будет и проигрыш в пути. Это наглядно видно из рассмотренного примера. Путь движения точки А больше пути перемещения точки Б во столько раз, во сколько подъемная сила в точке Б больше усилия, приложенного водителем в точке А.
Пара сил
Если к незакрепленному телу приложить какую-то силу, то это тело будет перемещаться. Направление этого перемещения зависит от места приложения силы, ее направления и величины. В том случае, если сила приложена в одной из точек вертикальной оси центра тяжести тела, тело будет перемещаться прямолинейно, а если же в стороне от этой оси, – оно будет перемещаться под углом к направлению действия силы или вращаться. Под центром тяжести всякого тела понимают воображаемую точку, в которой сосредоточена вся его масса, или, иначе говоря, вес тела.
Вращение тела возможно под действием пары сил, направленных противоположно и на определенном расстоянии (плече) одна от другой. Внешне часто наблюдается только одна сила в этой паре. Например, применительно к шатунно-кривошипному механизму пара сил вращает коленчатый вал (рис. 4). Давление газов на днище поршня передается коленчатому валу через шатун и на шатунной шейке кривошипа создает одну из пары сил. Другая сила – сила сопротивления подшипников и всей силовой передачи удерживает коленчатый вал от вращения.
В зависимости от изменения силы и плеча момент пары сил, приложенных к кривошипу, как это видно из рис. 4, б и в, постоянно меняется. Из рис. 4, а видно, что плечо пары сил равно нулю, а поршень находится в нижнем крайнем положении, т. е. в мертвой точке. Лишь вращающийся по инерции маховик выводит коленчатый вал из этого положения.
Крутящий момент и мощность
Момент пары сил, передаваемый двигателем автомобиля через маховик на силовую передачу, называется крутящим моментом двигателя (Мкр). Крутящий момент, как и работа, выражается в килограммометрах (кгм). Схематически крутящий момент двигателя представлен на рис. 5. Если, например, на ободе маховика радиусом 0,25 м приложить силу, равную 80 кг, то крутящий момент будет равен 20 кгм. Для двигателя он определяется наибольшим при конкретном числе оборотов коленчатого вала. Чем больше мощность двигателя и меньше обороты коленчатого вала, тем больше крутящий момент.
Под мощностью двигателя понимают работу, выполненную в единицу времени (в секунду).
Мощность двигателя выражается в лошадиных силах (л. с.). Если груз весом 75 кг поднят на высоту 1 м и эта работа выполнена за 1 сек, то, значит, развита мощность, условно равная 1 л. с. Когда говорят об определенной величине мощности двигателя, то указывают, при каких оборотах коленчатого вала двигателя она получена. А это обозначает именно те исходные данные, которые необходимы для определения мощности двигателя на определенном режиме его работы. Мощность двигателя определяется по формуле
где Ne – мощность двигателя, л. с;
Мкр – крутящий момент, кгм;
n – число оборотов коленчатого вала, об/мин;
716,2 – коэффициент, полученный в результате вывода этой формулы.
Так, для автомобиля ЗИЛ-157 мощность двигателя при максимальном крутящем моменте 34 кгм и числе оборотов 1400 в минуту составляет
а максимальная мощность двигателя автомобиля ЗИЛ-157 при 2800 об/мин достигает 109 л. с. Из примера видно, что максимальные крутящий момент и мощность двигателя получаются при разных оборотах коленчатого вала.
Следовательно, чем больше крутящий момент двигателя, тем большую работу он может совершить за один оборот коленчатого вала.
Одну и ту же мощность двигателя можно получить при большом крутящем моменте и малых оборотах, а также при малом моменте и больших оборотах коленчатого вала. Для автомобильных двигателей характерны малый момент и большие обороты коленчатого вала.
Сила инерции и закон инерции
Известно, что всякое тело сохраняет состояние покоя или равномерного прямолинейного движения до тех пор, пока какая-либо сила не выведет его из этого состояния. Это положение носит название закона движения или закона инерции.
Силы, сопротивляющиеся выводу тела из состояния покоя или изменению направления движения, называются силами инерции. Силы инерции автомобиля используют в целях экономии горючего при движении накатом. В данном случае равнодействующая сил инерции, действуя в центре тяжести и преодолевая силы сопротивления движению, двигает автомобиль вперед при свободно вращающихся колесах. Это происходит до тех пор, пока равнодействующие сил инерции и сил сопротивления движению не уравновесятся. Силы инерции познает пассажир при резких действиях неопытного водителя в начале движения автомобиля, на крутых поворотах и при остановке. Если, например, в кузове автомобиля на поперечных сиденьях сидят пассажиры, то при резком трогании с места все они, подчиняясь законам инерции, резко откинутся назад. Обратное явление наблюдается при резком торможении автомобиля: пассажиры резко наклоняются в направлении движения автомобиля.
При резком повороте автомобиля происходит отклонение пассажиров: при левом повороте – вправо, при правом – влево.
Всякое изменение движения и состояния покоя автомобиля сопровождается перераспределением полного веса автомобиля по осям и колесам (рис. 6). Это приводит к деформациям подвески и шин, вызывая крен подрессоренной части автомобиля.
Устойчивость
Под устойчивостью обычно понимают способность предмета сопротивляться опрокидывающим силам.
Устойчивость автомобиля зависит от его конструкции, а также от умения водителя правильно управлять машиной в движении, особенно на поворотах и при торможении.
Устойчивость автомобиля может быть продольная, поперечная и боковая. Она зависит от веса автомобиля (с грузом или без груза), высоты его центра тяжести, размещения, удельного веса и высоты укладки груза в кузове (табл. 1), от ширины колеи и базы автомобиля, скорости движения, радиуса поворота, а также от состояния дороги, по которой автомобиль движется.
При прямолинейном движении автомобиля обеспечивается поперечная и продольная устойчивость, если линия действия силы тяжести (Силой тяжести автомобиля называется вес автомобиля в килограммах, сосредоточенный в его центре тяжести) не выходит за пределы периметра точек опоры автомобиля (рис. 7, а и в).
Если линия действия силы тяжести автомобиля пересекается с поверхностью дороги (местности) за пределами площади, ограниченной точками опор колес, как показано на рис. 7,б и г, то автомобиль теряет устойчивость. В первом случае автомобиль опрокидывается вокруг задней оси (потеря продольной устойчивости), а во втором – через колеса левой стороны (потеря поперечной устойчивости). Из-за высоко расположенного центра тяжести продольная и поперечная Устойчивость некоторых автомобилей недостаточна. Были случаи опрокидывания автомобилей не только при движении на поворотах, спусках, подъемах и косогорах, но и на ровных прямых участках дорог. Как правило, это происходило при резком торможении автомобиля в движении с высокими скоростями. Конечно, эти случаи характерны для малоопытных или недисциплинированных водителей.
В ряде случаев наблюдается занос задней части автомобиля вправо или влево от оси движения автомобиля. Чаще это бывает на скользких дорогах при движении с повышенной скоростью и резком торможении. При этом наблюдается потеря автомобилем так называемой боковой устойчивости (рис. 8). Восстановить боковую устойчивость можно поворотом управляемых колес в сторону заноса задних колес. Если водитель не сделает этого или надернет рулевое колесо в сторону, противоположную засосу, то на скользкой дороге автомобиль может начать вращаться вокруг вертикальной оси. Такая обстановка часто приводит к аварии вследствие удара колес о препятствие и опрокидывания автомобиля.
Центробежная и центростремительная силы
Известно, что всякое действие силы вызывает равное, но противоположно направленное противодействие. Равны и противоположно направлены центробежная и центростремительная силы. Центробежная сила стремится отбросить тело от центра вращения по радиальному направлению, а центростремительная сила удерживает тело на окружности вращения. Действие этих сил проявляется в случае вращения привязанного на нитке небольшого грузика (рис. 9).
Вращение тела и натяжение нитки (рис. 9, а) свидетельствуют о равенстве противодействующих сил и достаточной прочности связующего звена. С увеличением скорости вращения эти противоположно направленные силы возрастают настолько, что могут разорвать нитку в наиболее слабом месте. Тело покинет окружность вращения (рис. 9, б) и будет продолжать движение по касательной к окружности вращения от точки, в которой оно находилось в момент обрыва нитки.
Под действием центробежной силы движется макет автомобиля под уклон с последующим выходом на путь по вертикальной петле.
Если макет развивает скорость, при которой центробежная сила превышает силу тяжести (действие других сил не рассматривается), он способен двигаться в непривычном для нас положении, как показано на рис. 10.
В результате действия центробежной силы при резком повороте на большой скорости автомобиль может опрокинуться. Действие центробежной силы при движении автомобиля на повороте проявляется в трех случаях (рис. 11): при отсутствии опорной реакции на ближних к центру поворота колесах, при заносе задних колес, а также при буксовании ближних к центру поворота ведущих колес, т. е. при вращении колес ведущих мостов с разной скоростью.
Для предотвращения вредного действия центробежных сил и увеличения средней скорости движения на крутых поворотах автомобильных магистралей делают поперечный уклон проезжей части к центру поворота.
При этом автомобиль занимает примерно такое же положение на повороте, как мотоцикл или велосипед. Этот наклон должен быть тем больше, чем больше скорость движения и чем меньше радиус поворота. Равнодействующая сил, действующих на велосипед или мотоцикл, должна быть направлена в точки опоры колес, иначе движение на них при крутом повороте и с большой скоростью без падения невозможно (рис. 12).
Автомобиль имеет два ряда колес, поэтому его наклон на повороте возможен за счет деформации подвески и главным образом за счет бокового уклона проезжей части дороги. Если такого уклона нет, то движение на повороте совершают с особой осторожностью на сниженных скоростях. Чем меньше радиус поворота, тем меньше допустимая скорость движения.
2. Понятия из теории автомобиля
Распределение силы тяжести
Сила тяжести автомобиля распределяется по осям и колесам. Обычно в технической характеристике каждого автомобиля указывается распределение веса по осям при расположении его на горизонтальной площадке. Известно, что чем ближе центр тяжести к той или иной оси, тем большая часть веса автомобиля приходится на эту ось, и наоборот (рис. 13).
Зная распределение веса по осям, можно определить положение центра тяжести автомобиля. Например, автомобиль ГАЗ-69 без нагрузки весит 1525 кг: на переднюю ось приходится 860 кг, а на заднюю – 665 кг. База автомобиля – 2300 мм. Тогда расстояние (l) от передней оси до вертикальной линии, проходящей через центр тяжести автомобиля, будет равно весу, приходящемуся на заднюю ось, поделенному на общий вес автомобиля и умноженному на расстояние между точками опор передней и задней осей, т. е.

Равномерность распределения нагрузки по колесам будет зависеть от разности в размерах шин, давления воздуха в них и степени износа протектора. Чем больше размер и давление в одной из шин спаренных колес, тем большая часть нагрузки приходится на нее.
Если кузов автомобиля нагружен, то распределение нагрузки по осям и колесам зависит от равномерности укладки груза по платформе кузова.
Сцепной вес, сила сцепления колес с грунтом и реакция грунта.
Причины буксования
Под сцепным весом автомобиля понимают ту часть его веса, которая приходится на ведущие колеса. Если, например, автомобиль имеет все ведущие колеса, то сцепным весом будет полный вес автомобиля (рис. 14).
Сцепным весом в значительной мере определяется проходимость автомобиля. Известно, например, что у автомобиля ГАЗ-51 без груза передние колеса нагружены почти так же, как и задние. При этом сцепной вес у каждого из четырех ведущих колес в два раза меньше, чем вес, приходящийся на каждое ведомое переднее колесо. Поэтому из-за слабого сцепления ведущих колес с грунтом на скользких дорогах даже при небольшом подъеме автомобиль ГАЗ-51 без груза начинает буксовать.
Силой сцепления колес с грунтом (дорожным покрытием) называют возникающее между ними трение, которое зависит от величины нагрузки на ведущие колеса, от твердости и влажности дорожного полотна, состояния шин и давления воздуха в них, а также от формы рисунка протектора. На скользкой дороге и особенно при гладкой («лысой») беговой поверхности шин с высоким давлением воздуха трение (т. е. сцепление) колес с поверхностью дороги резко снижается.
Когда крутящий момент двигателя передается на ведущие колеса автомобиля в виде силы тяги, стремящейся оттолкнуться от опоры, автомобиль движется. Однако это движение возможно при условии, если между колесом и дорогой достаточное трение (сила сцепления). Если же сила тяги на колесах будет превышать силу сцепления колес с дорогой, ведущие колеса будут буксовать.
Силу тяги (Рк) на ведущих колесах можно легко вычислить, если разделить величину крутящего момента (Мкр) в килограммометрах на радиус (rк) колеса в метрах. Например, для автомобиля ГАЗ-69 при движении на третьей передаче Мкр = 67 кгм, rк = 0,37 м. Тогда сила тяги
Отсюда видно, что чем больше радиус ведущего колеса, тем меньше сила тяги на этом колесе.
Крутящий момент на колесах будет тем больше, чем ниже передача, включенная в коробке передач. Следовательно, при трогании автомобиля с места для движения по дорогам, требующим большой тяги на колесах (подъем, пересеченная и труднопроходимая местность), или при наличии прицепа на крюке автомобиля надо включить низшую передачу коробки передач и понижающую передачу раздаточной коробки.
Большое значение для проходимости автомобиля имеет удельная нагрузка от колес на грунт. Удельная нагрузка определяется полным весом автомобиля в килограммах (кг), приходящимся на площадь опоры шины в квадратных сантиметрах (см2), как указано в табл. 2.
Реакция грунта по величине всегда соответствует удельной нагрузке колеса на грунт. В ряде случаев это равенство наступает после некоторого погружения колес в грунт (снег, песок, пашня, размокший грунт).
Сила трения (сцепления) между колесами и дорогой может быть повышена вследствие увеличения сцепного веса или удельного давления колес на дорогу, что достигается уменьшением опорной поверхности ведущих колес. Для этого на твердых (но скользких) грунтах применяют шины с глубоким и определенно направленным рисунком протектора. В пути надевают цепи противоскольжения, а если автомобиль не нагружен или нагружен незначительно, снимают по одному колесу с каждой стороны двухскатных колес ведущего моста (рис. 15).
На слабых грунтах (болото, глубокий снег, сухой песок, размокший грунт) для повышения проходимости автомобиля снижают удельное давление колес на грунт, увеличивая их опорную поверхность. С этой целью применяют арочные шины, снижают давление воздуха в шинах, устанавливают дополнительные колеса. Введение на автомобилях эластичных шин с централизованной регулировкой давления воздуха облегчает преодоление таких грунтов.
Силы, действующие на автомобиль
Во время трогания с места, при движении по прямой, на закруглениях, спусках и подъемах, а также при торможении и остановке на автомобиль действуют определенные силы, имеющие величину, направление и место приложения.
Сила сопротивления качению определяется усилием, которое необходимо приложить к автомобилю для его свободного качения. Практически эта сила может быть определена динамометром, укрепленным в сцепном звене буксируемого и буксирующего автомобилей.
Сила сопротивления качению автомобиля во многом зависит от вида и состояния дороги и ее деформации, от скорости движения, конструкции и состояния шин и их деформации, от правильности установки сходимости передних колёс, a также от трения в подшипниках ходовой части и рессорах.
Действие сил деформации шин и грунта, а также трения между ними в различных дорожных условиях учитывают коэффициентом сопротивления качению. Этот коэффициент определяется опытным путем, а его значения для разных дорог различны: больше, например, на сыпучих песках и меньше – на асфальте (табл. 3).
Для шин с грунтозацепами (развитым рисунком протектора) коэффициент сопротивления качению на 20 – 30% выше, так как на деформацию этих шин требуются большие затраты мощности.
Сопротивление качению автомобилей, как установлено, равно весу автомобиля, умноженному на коэффициент сопротивления качению. Измеряется оно в килограммах.
Известно, что чем больше лобовая поверхность (меньше обтекаемость) автомобиля и выше скорость движения, тем больше сопротивление воздушной среды. Скорость движения очень сильно влияет на величину этого сопротивления.
Так, например, при увеличении скорости движения в 2 раза (с 30 до 60 км/час) потери мощности двигателя на преодоление сопротивления воздушной среды возрастают больше чем в 7 раз. Опытами установлено, что при увеличении скорости движения в 5 раз потребная мощность двигателя автомобиля на преодоление сопротивления воздуха возрастает в 135 раз. Это сопротивление зависит также от силы и направления ветра и состояния воздуха. Если направление ветра навстречу движению автомобиля или под углом (до 110°), то сопротивление его будет больше, а при попутном ветре (при углах обдува 110 – 250°) сопротивление воздушной среды уменьшается. Встречный ветер во время движения автомобиля способствует перерасходу горючего, а боковой ветер на скользкой дороге вызывает потерю боковой устойчивости автомобиля.
В зависимости от высоты и формы кузова, а также от укладки груза сопротивление и завихрение воздуха изменяются. В целях уменьшения сопротивления и завихрения воздуха уложенный в кузов автомобиля груз рекомендуется надежно укреплять и обтягивать брезентом.
В зависимости от изменения движения автомобиля меняются характер и направление действующих на него сил (рис. 16). Когда автомобиль стоит на горизонтальной площадке, на него действуют сила тяжести и силы противодействия грунта давлению колес (рис. 16, а). При трогании с места и резком включении педали сцепления на автомобиль действуют: сила тяжести, силы противодействия грунта давлению колес, сила тяги и сила сцепления колес с дорогой. Сложение этих сил создает момент пары сил, стремящийся повернуть автомобиль вокруг задней оси с одновременной разгрузкой передней подвески (рис. 16,б). При резком торможении наблюдается явление, обратное предыдущему. При этом сила тяги на колесах исключается, проявляет свое действие сила инерции движения (рис. 16, в) и возрастает нагрузка на передние колеса.
Во время движения на повороте (рис. 17) на автомобиль действуют: сила тяжести, сила тяги на колесах, силы сопротивления качению и боковому скольжению, центробежная сила и сила инерции движения, реакция грунта на опору колес и сила сопротивления воздуха. Равнодействующая сил, действующих на автомобиль, и сопротивление боковому скольжению создают опрокидывающий момент.
Водитель не может пренебрегать характером действия этих сил, особенно на повороте и при торможении, он учитывает их действие и на подвеску автомобиля. Если пренебрегать ими при движении на больших скоростях, то это приведет к поломкам деталей передней подвески (резкое торможение), усиленному износу покрышек (резкий поворот на большой скорости и торможение), а также к опрокидыванию всего автомобиля.
Так, например, при резком торможении на скользкой дороге заднюю часть автомобиля может занести вбок из-за неровности проезжей части, разного состояния грунта под левыми и правыми колесами, а также при нарушении регулировки тормозов. При сильном ударе скользящих колес о какой-либо закрепленный или тяжелый предмет, а также при попадании скользящих колес на участок с более высоким сопротивлением скольжению автомобиль опрокидывается. Это происходит в результате действия на автомобиль пары сил (рис. 18). Сила сопротивления скольжению левых колес направлена в сторону, противоположную скольжению, а центробежная сила, действующая в центре тяжести автомобиля, опрокидывает его вокруг левых колес. При этом резко нагружается левая подвеска и разгружается правая. В определенной степени эту резкость смягчают амортизаторы.
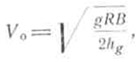
Известно, что предельная скорость движения автомобилей на поворотах до опрокидывания определяется по формуле:
где Vо – максимальная скорость на повороте до появления опасности опрокидывания автомобиля, м/сек;
g – ускорение свободно падающего тела, 9,81 м/сек2;
R – радиус поворота, м.
В – ширина колеи автомобиля, м;
hg – высота расположении центра тяжести автомобиля, м.
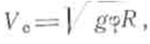
Наибольшая допустимая скорость движения автомобиля на поворотах до появления бокового скольжения определяется по формуле:
где Vc – максимальная скорость на повороте до появления опасности бокового скольжения автомобиля, м/сек;
g – ускорение свободно падающего тела, 9,81 м/сек2;
φ – коэффициент сцепления колес с грунтом;
R – радиус поворота автомобиля, м.
Для конкретно рассматриваемого автомобиля эта скорость будет зависеть от вида и состояния дороги и радиуса поворота автомобиля. При прочих равных условиях предельная скорость по скольжению наступает раньше предельной скорости по опрокидыванию автомобиля.
Сила тяжести при движении автомобиля на подъеме создает дополнительное сопротивление, а на спуске повышает силу тяги.
Итак, тяговая сила на колесах движущегося автомобиля расходуется в основном на преодоление трех сил: силы сопротивления качению, силы сопротивления подъему и силы сопротивления разгону. Если противодействующие силы больше, чем силы тяги на колесах, то движение автомобиля окажется невозможным.
Зная действующие на автомобиль силы и учитывая их в управлении автомобилем, водитель сможет безопасно вести машину на высоких маршевых скоростях, не допуская дорожно-транспортных происшествий и одновременно превышая межремонтные сроки пробега автомобиля.
Иногда из-за невнимательности водителя, неисправности тормозов или из-за превышения допустимых скоростей в конкретных условиях движения происходят аварии: наезды на другие машины, придорожные сооружения и даже на пешеходов.
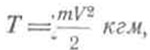
При этом наблюдаются весьма серьезные повреждения предметов, тем значительнее, чем выше скорость движения автомобиля в момент аварии. Иногда отмечаются случаи, когда боковой удар легкового автомобиля в трамвай, автобус или в тяжелый грузовой автомобиль опрокидывает его. Проявляется действие кинетической энергии, которая прямо пропорциональна массе автомобиля и квадрату его скорости:
где Т – кинетическая энергия;
m – масса автомобиля;
V – скорость движения автомобиля.
Если, например, автомобиль «Москвич-407» при скорости 80 км/час на перекрестке столкнется с проходящим перпендикулярно к направлению его движения автомобилем МАЗ-200 с грузом со скоростью 20 км/час, то автомобиль МАЗ-200 будет опрокинут (рис. 19), а автомобиль «Москвич-407» в лучшем случае окажется изрядно помятым. В момент столкновения кинетическая энергия автомобиля «Москвич-407» равна
а кинетическая энергия автомобиля МАЗ-200 соответственно
при весе автомобиля «Москвич-407» 1090 кг и весе автомобиля МАЗ-200 13 500 кг. При этом скорость автомобиля «Москвич-407» лишь в четыре раза больше скорости автомобиля МАЗ-200, а вес автомобиля МАЗ-200 в 12 раз больше веса автомобиля «Москвич-407». Отсюда видно, какую роль в подобных случаях имеет скорость движения, поэтому ее следует всегда учитывать в опасных местах.
Назад в раздел